【生物基礎】腎臓・原尿量計算の解き方を解説
(高校生物の定番問題である)
腎臓でこし出される液量や再吸収される液量を知るために、
こし出されるが再吸収や生体内で追加排出されない物質であるイヌリンを
静脈中に注射した。数分経って血液中のイヌリンの濃度が一定になってから、
細いガラス管を用いて、一定時間に左右の腎うに集まる尿を全部採取した。
表はあるヒトの血しょうおよび尿での測定値である。

(1)イヌリンの濃縮率を答えよ
(2)5分間にこし出された血しょうの量は何mLになるか答えよ
(3)5分間に再吸収された尿素の量は、こし出された量の何%か。少数第一位までで答えよ
ココケロくんこないだ「原尿量計算の公式」を覚えたんだけど、この問題、原尿量聞かれてないじゃん・・ココミちゃんちょっと待って。一個ずつ丁寧に確認しましょう。「血しょう」と「原尿」と「尿」の関係性

この3つの「液体」の関係性がわかっていない受験生は意外と多い。
腎臓に流れてきた血しょうが糸球体とボーマンのうによって濾過される。
この、「血しょうが濾過された液体」を「原尿」と呼ぶ。
この「濾過」は糸球体の小さな穴を、「血圧」という物理的な圧力によってこし出しているため、
必要な物質と不要な物質を丁寧に選り分けてはいない。
したがって、原尿中には排出するには惜しい、生体に必要な物質も多々含まれることになる。
よって、この必要な物質を、再び生体内に戻すという作業が必要になる。
それを「再吸収」と呼ぶ。再吸収によって、ほとんどの水、全てのグルコースは原尿から引き上げられる。
(グルコースは異化反応に使われる重要な基質なので、微量たりとも捨てたくはない)
結果として、再吸収を受けた後の液体は、必要な物質を回収した後の絞りかすとなる。
この状態を「尿」と呼ぶ。
以上から、「血しょう」が濾過を受けて「原尿」となり、
「原尿」が再吸収を受けて「尿」となる。
尿のもとは血液なのだ。
イヌリンの濃縮率

公式として覚えようとする人がいるが、オススメしない。
理由は単純で「公式として覚える」ことは「忘れやすい」からであり、
その公式に当てはまる形で出題されなかった場合、手も足も出ない結果となりやすい。
血しょうが最終的に尿になることを我々は確認した。
したがって濃縮率を考慮する際、「最初の血しょう」が「最後の尿」になるとき、
濃度が何倍になったのか?を考えればよい。
ここに公式を介在させる余地がないことがよくわかるだろう。
こし出された血しょう量
「原尿量計算」というのは高校生物における一大テーマであり、
受験生は皆、多かれ少なかれ意識している分野でもある。
また、「公式」と呼ばれるものも様々存在し、
それを覚えることでお茶を濁す受験生も多い。
しかし、さきほどのイヌリンの濃縮率と同様に、
「公式」を使用することはオススメしない。
たとえば本問だが、「原尿量」が問われていない。
さあ、どうするか。ということである。

「こし出された血しょう」とは何を意味するのだろうか。
血しょうがこし出される、ということは「血しょうが濾過される」ことを指す。
であれば、「こし出された血しょう量」とは「濾過後の原尿量」のことである。
したがって本問はいわゆる「原尿量計算」の問題である。
ここで、「イヌリン」という物質に着目する。
イヌリンは生体内で新たに作られることもなければ、再吸収もされない物質であることが、
問題文に明記されている。
したがってイヌリンの量(mg)は常に一定であることがいえる。
増えることも減ることもないのだから。
さて、表を見ると、血しょうのイヌリン濃度と尿のイヌリン濃度が変化している。

イヌリンの量(mg)が変化しないのに、濃度(mg/mL)が変化すると言うことは、
液体の体積(mL)が変化したということである。
では、どのように変化したのか?増えたのか?それとも減ったのか?
イヌリンの濃度は、尿になると高くなる。
たとえば「味噌汁」をイメージする。
「濃い味噌汁を作るには水を減らすべきか、増やすべきか」ということだ。
当然、水を飛ばしてやれば、濃い味噌汁になる。

したがって、120倍の濃さになっているということは、
液体(尿に含まれる水)の量は120分の1になっている。
ということは120分の1になる前の血しょうの量は、
尿の量に120倍してやれば良いということになる。
なお、「別解」として以下のように考えることも可能である。
分泌も再吸収もされない、つまりプラスもマイナスもされない以上、
「血しょう中のイヌリンの量」と「尿中のイヌリンの量」が同じであることを数式で表現すると

このようになる。
大切なのは表で与えられているのは濃度(mg/ml)であり、体積(ml)をかけることで、
質量(mg)とするという単位の感覚である。
これは次の問題を解くときにも活きてくる。
以上が原尿量の求め方である。
なお、「生体内で新たに作られず、再吸収されない物質」であれば、
「イヌリン」でなくても原尿量は求められる。
再吸収された尿素の量
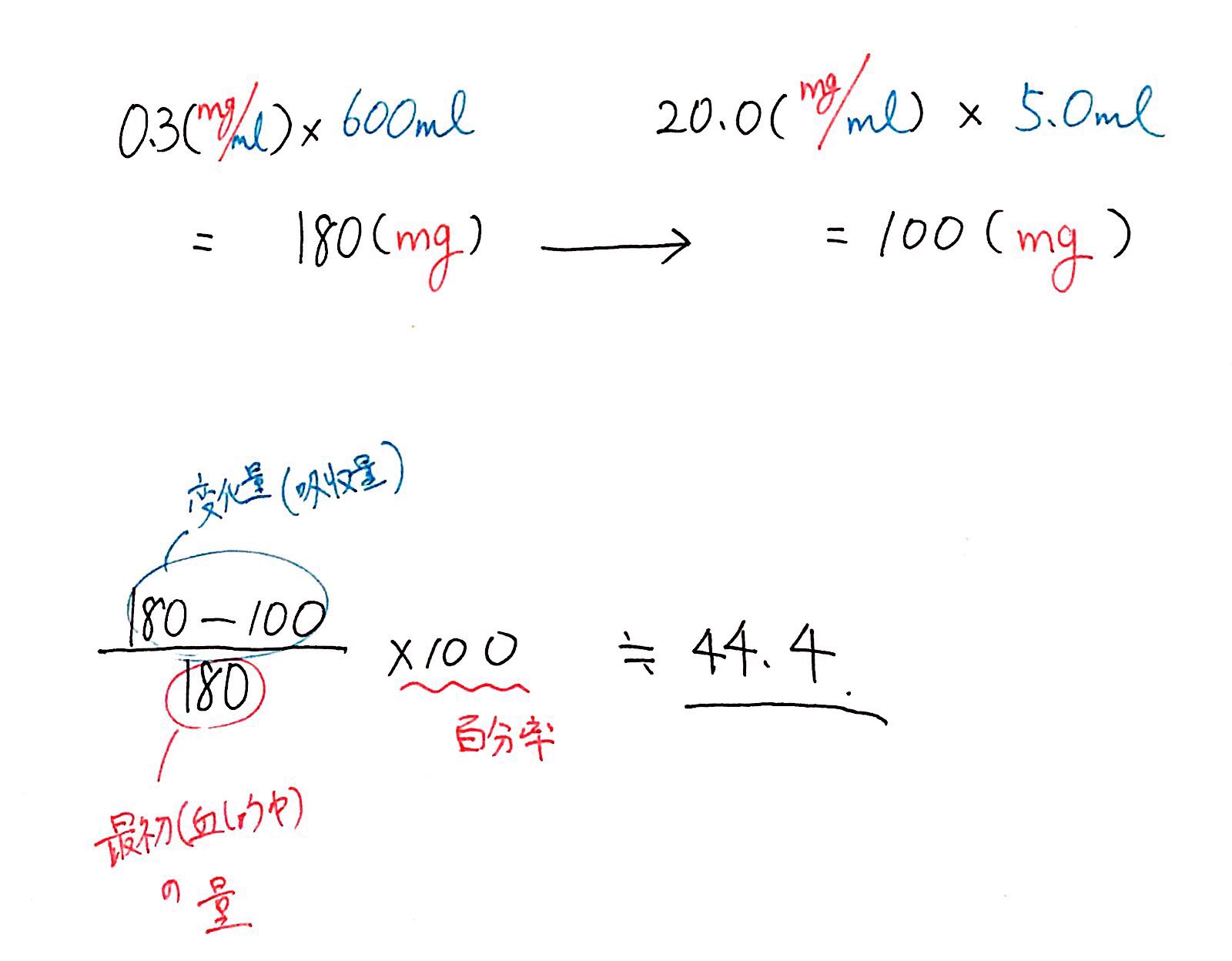
あらためて表を確認する。

尿素が0.3と20.0とみえるので、これをそのまま使いたくなるが注意である。
これは濃度(mg/mL)であり、尿素そのものの量(mg)ではない。
濃度(mg/mL)であるため、液体の体積(mL)に影響を受けるということである。

したがって、原尿量は600(mL)、尿量は5(mL)を濃度にかけることで、
尿素の実際の量を求める。

原尿から尿になるときに180(mg)から100(mg)に変化している。
したがって80(mg)がどこかへ消えているが、
原尿から物質が再吸収された結果が尿である。
したがってこの80(mg)が再吸収された尿素となる。
以上、原尿量計算を得意分野としてしまいましょう。



